2.75

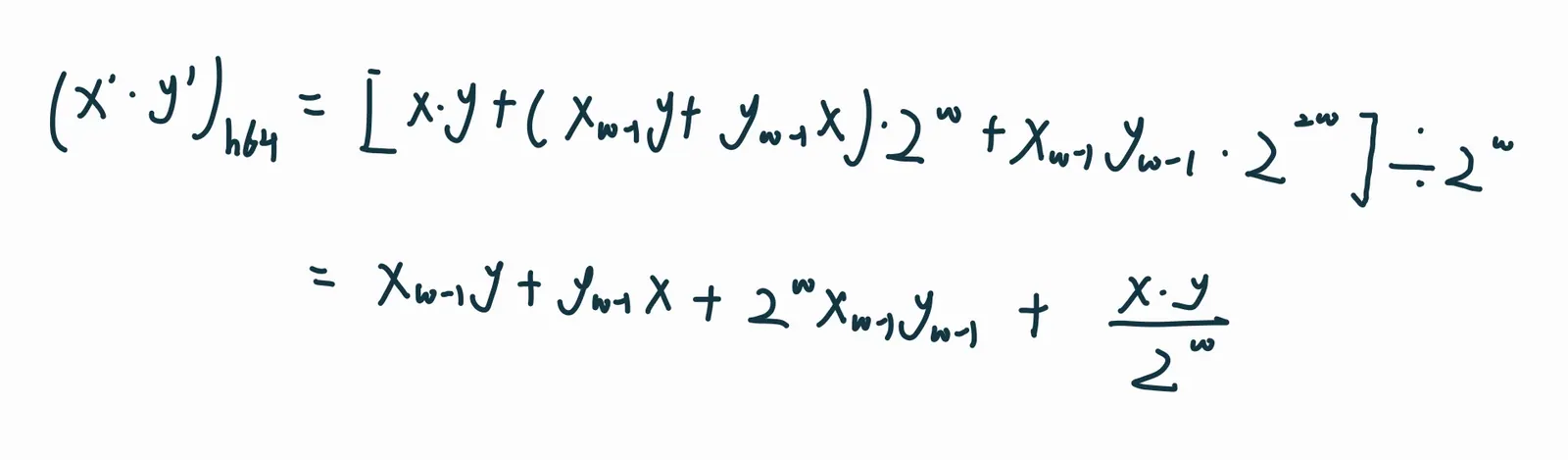
针对补码乘法,我们得到如下式子:

其中的mod2^w 相当于截取前w位的操作,那么我们取高w位,则只需将取模运算改为除法。
得到:

于是我们的代码如下:
#include<stdlib.h>
#include<stdio.h>
#include<stdbool.h>
#include<math.h>
unsigned unsigned_high_prod(unsigned x, unsigned y) {
// 将 unsigned 类型的数转换为 signed 类型
int signed_x = (int)x;
int signed_y = (int)y;
int x31 = signed_x >> 31;
int y31 = signed_y >> 31;
// 调用 signed_high_prod 函数
int signed_result = signed_high_prod(signed_x, signed_y);s
unsigned unsigned_result = (unsigned)(signed_result + x31 * y + y31 * x);
// 返回 unsigned 高位部分
return unsigned_result;
}
2.77

A:对于 x*17 = x * (2^4 + 2^0) = x * 2^4 + x = x << 4 + x << 0 = x << 4 + x
(x<<4)+x
B: 对于 x*-7 = -(x * 2^3 - x * 2^0) = -(x<<3)+x
-(x<<3)+x
C:对于 x * (64 - 4) = x * (2^6 - 2^2) = x << 6 - x << 2
(x<<6)-(x<<2)
D:对于 x * -(128 - 16) = x * -(2^7 - 2^4) = -(x << 7 - x << 4) = -(x<<7)+(x<<4)
-(x<<7)+(x<<4)
2.79

int mul3div4(int x){
if(x >=0){
int high_bit = (x>>2)*3;
int low_bit = (x&0x3)*3;
return high_bit + (low_bit>>2);
}
else{
int high_bit = (x>>2)*3;
int low_bit = (x&0x3)*3;
return high_bit + ((low_bit+3)>>2);
}
}
我们通过一下代码来测试:
int main(){
int x;
for(x = INT_MIN;x < INT_MAX;x++)
{
if(mul3div4(x) != ((long long)x) *3/4)
{
printf("不相同:%d\n",x);
printf("%d\n%d\n",mul3div4(x),((long long)x) *3/4);
return 1;
}
}
if( x == INT_MAX)
printf("计算结果全部一致!");
return 0;
}
运行结果为:

2.82

A.
错,当 x = INT_MIN,y = 0 时 x = -x仍然等于-2147483648,y = -y 仍然等于0 则 -2147483648<0 == -2147483648 > 0 显然为0
B
对,x<<4 -x + y<<4 + y = x*(2^4 - 1) + y*(2^4 + 1) = x*15 + y*17
C
对
~x + ~y + 1 = -(x + 1) + -(y + 1) + 1 = -x - 1 - y - 1 + 1 = -x - y - 1 + 1 = -x - y -1
~(x + y) = -(x + y + 1)
~x + ~y + 1 == ~(x + y)
D
对
unsigned x - unsigned y = -(unsigned)(y-x)
无符号数减法时,若x<y,结果会发生下溢,计算为x-y+w
考虑情况:
1、x>=y
ux−uy=x−y
而 −(unsigned(y−x)) 的结果为:
−(unsigned(y−x))=−(2^w + y−x)=2^w + x - y = x-y
2、x<y
unsigned x- unsigned y= x - y + 2^w
−(unsigned(y−x))= -U(y-x) = 2^w - (y -x) = 2^w -x +y
两种情况下都成立,故等式恒成立
E
对
((x>>2)<<2)<=x
右移两位后左移,最低两位一定被丢弃且无法恢复